Publications
At the University of Maryland
In Progress. Check back later.
Prior to the University of Maryland

Unlocking carbene reactivity by metallaphotoredox α-elimination
Boyle, B.T.*; Dow, N. W.*; Kelly, C.B.; Bryan, M.C.; MacMillan, D.W.C. Nature, 2024, 631, 789

Halogenation of the 3-position of pyridines through Zincke Imine intermediates
Boyle, B.T.*; Levy, J.N.*; Lescure, L.; Paton, R.S.; McNally, A. Science, 2022, 378, 773

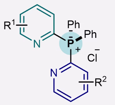
Pyridylphosphonium salts as alternatives to cyanopyridines in radical-radical coupling reactions
Greenwood, J.W.; Boyle, B.T.; McNally, A.; Chem. Sci. 2021, 12, 10538

Facile Pyridine SNAr Reactions via N-Phosphonium Pyridinium Intermediates
Boyle, B.T.; Koniarczyk J.L.; McNally, A. SynLett, 2021, 32, 215

An Organocatalytic Mitsunobu Reaction
Boyle, B.T.*; Nottingham, K.G.*; McNally, A. Trends in Chemistry, 2020, 2, 174

Non-Symmetrical Bis-Azine Biaryls from Chloroazines: A Strategy Using Phosphorus Ligand-Coupling
Boyle, B.T.; Hilton, M.C.; McNally, A. J. Am. Chem. Soc. 2019, 141, 15441

Heterobiaryl synthesis by contractive C–C coupling via P(V) intermediates
Hilton, M.C.; Zhang, X.*; Boyle, B.T.*; Alegre-Requena, J.V.; Paton, R.S.; McNally, A. Science, 2018, 362, 799
